皇冠信用网账号申请 _商务部:5月7日起对原产于印度的进口氯氰菊酯征收反倾销税
信用平台出租(www.hg0088.us)-会员开户_登3代理>皇冠信用网/—开会员账号—皇冠信用网招登1登2登3<平台出租>新京报讯 据商务部消息,根据《中华人民共和国反倾销条例》(以下简称《反倾销条例》)的规定,2024年5月7日,商务部(以下称调查机关)发布2024年第17号公告,决定对原产于印度的进口氯氰菊酯(以下称被调查产品)进行反倾销立案调查皇冠信用网账号申请 。
调查机关对被调查产品是否存在倾销和倾销幅度、被调查产品是否对国内产业造成损害及损害程度以及倾销与损害之间的因果关系进行了调查皇冠信用网账号申请 。根据调查结果和《反倾销条例》第二十四条的规定,2025年1月7日,调查机关发布初裁公告,初步认定被调查产品存在倾销,国内氯氰菊酯产业受到实质损害,而且倾销与实质损害之间存在因果关系。
初步裁定后,调查机关对倾销和倾销幅度、损害及损害程度以及倾销与损害之间的因果关系进行了继续调查皇冠信用网账号申请 。现本案调查结束,根据《反倾销条例》第二十五条的规定,调查机关作出最终裁定(见附件)。现将有关事项公告如下:
一、最终裁定
调查机关最终认定,原产于印度的进口氯氰菊酯存在倾销,国内氯氰菊酯产业受到实质损害,而且倾销与实质损害之间存在因果关系皇冠信用网账号申请 。
二、征收反倾销税
根据《反倾销条例》第三十八条的规定,商务部向国务院关税税则委员会提出征收反倾销税的建议,国务院关税税则委员会根据商务部的建议作出决定,自2025年5月7日起,对被调查产品征收反倾销税皇冠信用网账号申请 。
被调查产品的具体描述如下:
调查范围:原产于印度的进口氯氰菊酯皇冠信用网账号申请 。
被调查产品名称:氯氰菊酯皇冠信用网账号申请 。
英文名称:Cypermethrin,也称Cypermethrin technical,Cipermethrin皇冠信用网账号申请 。
分子式:

展开全文
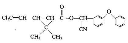
化学结构式:

物理化学特性:氯氰菊酯是重要的拟除虫菊酯类杀虫剂,外观通常呈黄色至棕色粘稠液体或有结晶的半固体,具有触杀和胃毒作用,杀虫谱广,有效成分CAS号为52315—07—8、67375—30—8和1315501—18—8皇冠信用网账号申请 。
主要用途:氯氰菊酯主要用于生产高效氯氰菊酯、杀虫剂制剂等,广泛应用在农业、卫生等领域,用于棉花、果树、蔬菜、烟草、玉米、花卉等害虫防治皇冠信用网账号申请 。
该产品归在《中华人民共和国进出口税则》:29269090皇冠信用网账号申请 。该税则号项下的其他产品不在本次调查范围之内。
对印度各公司征收的反倾销税税率如下:
1.印度格达化学有限公司 75.7%
(Gharda Chemicals Limited)
2.印度联合磷化物有限公司 166.2%
(UPL Limited)
3.印度塔格罗斯化学有限公司 48.4%
(Tagros Chemicals India Pvt. Ltd)
4.印度万民利有机化学有限公司 62.0%
(MEGHMANI ORGANICS LIMITED)
5.布拉特树农(印度)有限公司 62.0%
(BHARAT RASAYAN LIMITED)
6.印度禾润保工业有限公司 62.0%
(HERANBA INDUSTRIES LIMITED)
7.其皇冠信用网账号申请 他印度公司 166.2%
三、征收反倾销税的方法
自2025年5月7日起,进口经营者在进口原产于印度的氯氰菊酯时,应向中华人民共和国海关缴纳相应的反倾销税皇冠信用网账号申请 。反倾销税以海关确定进口货物的计税价格从价计征,计算公式为:反倾销税税额=海关确定进口货物的计税价格×反倾销税税率。进口环节增值税以海关确定进口货物的计税价格加上关税和反倾销税作为计税价格从价计征。
四、反倾销税的追溯征收
对自2025年1月8日起至2025年5月6日有关进口经营者依初裁公告向中华人民共和国海关所提供的保证金,按终裁所确定的征收反倾销税的产品范围和反倾销税税率计征并转为反倾销税,并按相应的增值税税率计征进口环节增值税皇冠信用网账号申请 。在此期间有关进口经营者所提供的保证金超出反倾销税的部分,以及由此多征的进口环节增值税部分,海关予以退还,少征部分则不再征收。
对临时反倾销措施实施之日前进口的原产于印度的氯氰菊酯不追溯征收反倾销税皇冠信用网账号申请 。
五、征收反倾销税的期限
对原产于印度的进口氯氰菊酯征收反倾销税的实施期限自2025年5月7日起5年皇冠信用网账号申请 。
六、新出口商复审
对于印度未在调查期内向中华人民共和国出口被调查产品的新出口经营者,符合条件,可依据《反倾销条例》第四十七条的规定,向调查机关书面申请新出口商复审皇冠信用网账号申请 。
七、期间复审
在征收反倾销税期间,有关利害关系方可以根据《反倾销条例》第四十九条的规定,向调查机关书面申请期间复审皇冠信用网账号申请 。
八、行政复议和行政诉讼
对本案终裁决定及征收反倾销税的决定不服的,根据《反倾销条例》第五十三条的规定,可以依法申请行政复议,也可以依法向人民法院提起诉讼皇冠信用网账号申请 。
本公告自2025年5月7日起执行皇冠信用网账号申请 。
商务部
2025年5月6日
编辑 李忆林子
猜你喜欢
- 2025-10-28皇冠足球管理平台出租 _梅州一高速路段发生交通事故,有车辆轮胎脱落
- 2025-10-28皇冠足球管理平台出租 _帮中国拔除心腹大患后,敏昂莱底气十足,派人到中国提了个要求
- 2025-10-27皇冠登录网址_郭建利被查
- 2025-10-27如何注册皇冠足球代理 _李在明:这就是中国施压方式,但对抗中国不是好方法
- 2025-10-27welcome皇冠注册 _近期有彩民持“整蛊假彩票”兑奖,体彩中心发声明
- 2025-10-27皇冠信用盘注册开通 _廷伯的全能表现:阿森纳1-0战胜水晶宫的关键数据解析
- 2025-10-26皇冠信用盘登3代理注册 _广西壮族自治区党委书记陈刚:决不允许为了完成年度任务或指标好看而搞“经济注水”、“虚假达标”!
- 2025-10-25皇冠信用網出租足球_徐麟、胡昌升、黄强、信长星、蓝佛安、李贤玉、郝春侠、阴和俊,在《新闻联播》出镜
- 2025-10-25皇冠信用网注册开户_“42名印度人落地后被广州白云机场遣返”系谣言!平台回应
- 2025-10-25皇冠信用网押金多少_羽毛球法国公开赛|这才是真实的陈雨菲 力克山口茜进四强
- 2025-10-24皇冠信用最新地址_北京周末再迎大风+雨雪,局地雨夹雪!
- 2025-10-24皇冠信用盘开户_银行大厅里的“业务员”,让57名储户的上千万元养老钱打水漂



网友评论